?>
El teorema de Catigliano, establece que cuando actúan fuerzas sobre sistemas elásticos, el desplazamiento correspondiente a cualquier fuerza, puede encontrarse obteniendo la derivada parcial de la energía de deformación respecto a esta fuerza. Los términos “Fuerza” y “Desplazamiento” han de interpretarse con amplitud, ya que se aplican igualmente a momentos y a los desplazamientos angulares.
El teorema de Castigliano es una herramienta grandiosa para la determinación de deformaciones de estructuras complejas.
Si sustituimos en esta ecuación
la ecuación resulta
(Ec. 2.21)
Derivando esta expresión respecto a F
![]()
Como se puede ver esta derivada es idéntica a la deformación.
(Ec. 2.22)
La derivada de esta ecuación respecto a T es:
Que es la ecuación del desplazamiento angular bajo una carga de torsión
(Ec. 2.23)
Y la derivada respecto a F es
que es la deformación de la viga.
El teorema de Castigliano puede establecerse matemáticamente
,
δn = desplazamiento del punto de aplicación de Fn en la dirección Fn.
Puede aplicarse una fuerza imaginaria Q, si no existe realmente ninguna fuerza en este punto. Después que se haya obtenido la expresión de δn, la fuerza Q se hace igual a cero; la expresión resultante es el desplazamiento en el punto de aplicación de la fuerza imaginaria Q y en la dirección en la que se imaginó que actuaba Q.
EjemploN°2.8:
Calcular la máxima deformación de una viga simplemente apoyada con una carga uniformemente distribuida
Se ha colocado una carga imaginaria Q en el centro de la viga, que es el punto de máxima deformación. Considerando sólo la parte izquierda, el momento es:
Ec. 2.24
La energía de deformación para la viga entera es el doble de la correspondiente a la mitad de la viga.
La deformación en el centro es
Ec. 2.25

Puesto que Q es imaginaria podemos ahora igualarla a cero.

EjemploN°2.9:
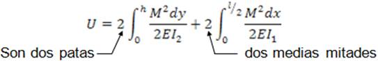
En la figura se muestra un pórtico y tiene una articulación en el punto A y puede moverse horizontalmente en el punto B. Encontrar la deformación horizontal del punto B originada por las cargas que se indican.
Se sitúa una fuerza imaginable Q en el punto B. Esta fuerza debe ser horizontal, debido a que se ha de encontrar la deformación en la dirección horizontal. Tomemos el punto A como sistema de coordenadas. En cualquier punto de las patas el momento es M=Q.y
Para el travesaño el momento en un punto cualquiera de la izquierda
(Ec. 2.26)
La energía de deformación es la suma de las correspondientes a cada elemento.

La deformación en el punto B es igual a la derivada parcial de esta energía respecto a la fuerza imaginaria Q.
Ahora se iguala a cero la fuerza Q y se tiene:
