?>
2.3.-DIAGRAMA DEL CÍRCULO DE MOHR
Método gráfico para expresar las relaciones obtenidas de los esfuerzos, muy eficaz para visualizar el estado de esfuerzos y tener en cuenta la dirección de un sistema de coordenadas.
( Ec. 2.13)
(Ec. 2.14)
(Ec. 2.15)
Fig.2.6
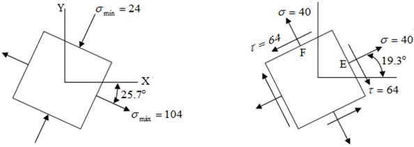
EjemploN°2.2:
Un elemento de esfuerzo tiene
, se desea hallar:
Gráficamente se pueden obtener los resultados
![]()
![]()
![]()
![]()



![]()
![]()


El esfuerzo esta a 45° respecto a las normales es decir 45°- 25.7°=19.3°
EjemploN°2.3:

El elemento está sometido sólo a carga axial, se
desprecia el peso del elemento.
En cualquier parte del cuerpo estará sometido a un
mismo esfuerzo.
Área resistente: A = 900 mm2
Esfuerzo
Los puntos A y B son críticos, porque soportan el mayor esfuerzo flector.


Los puntos críticos se presentan a todo lo largo de la superficie exterior del elemento.


Momento de inercia sección cuadrada

Los puntos A y B son puntos críticos

Los puntos críticos se presentan a todo lo largo de la superficie exterior del elemento.

En el punto A:

En el punto B:
![]()
![]()
Para el Punto A:


Para el Punto B


τxy = 0 no existe torsor
En el Punto A

![]()
![]()
En el Punto B

![]()
![]()
![]()
![]()
![]()
![]()
Otro ejemplo de flexión y carga axial:

En el punto A

![]()
![]()
![]()
![]()
![]()


![]()

Los esfuerzos máximos se presentan en los puntos A y B.
En el punto A:



![]()
![]()
En el punto B:
![]()
![]()

![]()
![]()
EjemploN°2.4: Calcular el esfuerzo cortante máximo en la sección A-A y en la sección B-B
Diagrama de cuerpo libre sobre la sección A-A


En el punto N, Sy=0 y Ƭxy=0

![]()
![]()
En la sección B-B
Diagrama de cuerpo libre

![]()
EjemploN°2.5: Determinar el esfuerzo normal máximo y el esfuerzo cortante máximo en la sección A-A
Puntos críticos en A y B

EjemploN°2.6:
El brazo que se muestra en la figura, es parte de un eslabón en que la fuerza horizontal de 40kg es transferida a F2 que actúa en forma vertical. La manivela puede pivotar sobre el pin 0.
Solución:
F2 x 5.5 = 40 x 4
F2 = 29.09 kg
La fuerza descendente F2 provoca un momento respecto a la sección del pin, existe un momento de reacción interna.


EjemploN°2.7:
