![]() |
César Aching Guzmán
Flujos variables
7.1. Valor actual de un flujo variable
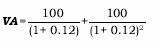
El valor actual de un flujo variable es igual a la suma de los valores actuales de cada uno de estos flujos. Para comprender esto, suponga una inversión en que las promesas de pago de UM 100 dentro de un año y UM 200 dentro de dos años es hoy; si un inversionista tiene que decidir entre estas dos opciones, al inversionista le resultaría indiferente, elegir entre las dos opciones, asumiendo que las inversiones son de igual riesgo, es decir, la tasa de descuento es la misma. Esto es porque los flujos futuros que el inversionista recibiría hoy carecen de riesgo y tienen el mismo valor bajo cualquier alternativa. Sin embargo, sí la inversión tuviera una tasa de descuento de 12%, el valor actual de la inversión puede encontrarse como sigue:
Valor actual de la inversión
![]()
VA = 89.29 + 79.72 = UM 169.01
La siguiente ecuación puede emplearse para calcular el valor actual de un flujo futuro de caja:

Dónde:
VA = Valor actual del flujo de caja
FCt = Flujo de caja (ingresos menos egresos) de t = 0 a n
i = Tasa de descuento,
t = El período que va de cero a n
n = El último período del flujo de caja
EJERCICIO 16 (Calculando el VA de un flujo variable de caja)
Calcule el valor actual del siguiente flujo de caja considerando una tasa de descuento de 15%:

Solución: (Aplicamos sucesivamente la fórmula (12) ó (17):
![]()
Aplicando la función VNA tenemos:

Respuesta:
El valor actual del flujo de caja es UM 1,938.92