Universidad de Málaga / EUMEDNET / Biblioteca Virtual / Hemeroteca / Contribuciones a la Economía /






Si desea publicar sus escritos en
"Contribuciones a la economía",
lea los requisitos formales de los textos.

La propiedad intelectual de los textos que publicamos en Internet sigue siendo íntegramente de los autores. EUMEDNET renuncia explícitamente a cualquier derecho que pudiera tener por su edición o publicación electrónica.

Vea también Cómo colaborar con este sitio web













"Contribuciones a la Economía" es una revista académica con el
Número Internacional Normalizado de Publicaciones Seriadas
ISSN 16968360

Pagina nueva 1

La geografía económica y los determinantes de la localización industrial: simulación del modelo centro-periferia en un contexto de competencia monopolística

 

 

Guadalupe Isabel Ceballos Álvarez

Roberto Ochoa García

Jorge Alberto Pérez Cruz
Universidad Autónoma de Tamaulipas

Ver CV

jperezc@uat.edu.mx

 

RESUMEN : Este trabajo de investigación retoma el modelo centro-periferia desarrollado por Krugman (1992), para mostrar a través de la técnica de simulación, cómo la industria manufacturera decide aglomerase en una región específica. Para tal caso, se utilizan como elementos centrales, en la determinación de localización industrial, al costo de transporte, los salarios reales, la elasticidad de la demanda y la participación de la industria manufacturera en la economía. Los resultados muestran que cuando la participación de la industria manufacturera en la actividad económica es lo suficientemente importante y la elasticidad de la demanda es pequeña, existirán incentivos para que la industria se concentre en aquella región donde el salario real sea mayor para cualquier nivel de costo de transporte.

Palabras claves: Aglomeración, costo de transporte, elasticidad de la demanda, geografía económica, salario real, simulación.

ABSTRACT:  This paper takes back the center-periphery model developed by Krugman (1992), to show across the technique of simulation, how the manufacturing industry decides to agglomerate in a specific region. For such a case, the cost of transportation, the real wage, the elasticity of demand and the participation of the manufacturing industry in the economy are used as central elements in the determination of industrial. The results show that when the participation of the manufacturing industry in the economic activity is sufficiently important and the elasticity of demand is small, incentives will exist in order that the industry centers in that region where the real wage is major for any level of cost of transportation.

Key words: Agglomeration, cost of transport, elasticity of demand, economic geography, real wage, simulation.


Para citar este artículo puede utilizar el siguiente formato:

Ceballos Álvarez, Ochoa García y Pérez Cruz:  “La geografía económica y los determinantes de la localización industrial" en Contribuciones a la Economía, junio 2006. Texto completo en http://www.eumed.net/ce/


 

 

Ver las fórmulas en este archivo

 

INTRODUCCIÓN

La nueva geografía económica tiene sus orígenes en la teoría de localización, la cual fue desarrollada en un principio por Von Thunen (1826) quien  realizó los primeros modelos empíricos basados en los efectos que tenía la localización de los cultivos sobre los costos al abastecer un centro.

El desarrollo de la nueva geografía económica se debe a Krugman, quien impulso algunos modelos, los cuales se enfocan, por el lado de la oferta para explicar las fuentes del crecimiento económico en un contexto regional. Además, analiza los resultados que se obtienen de la integración de las regiones al comercio internacional sobre la estructura de las actividades económicas.

 

LA LOCALIZACIÓN INDUSTRIAL Y LA GEOGRAFÍA ECONÓMICA

Los estudios realizados sobre la localización han sido orientados en gran parte (sino es que en totalidad) a entender las causas que originan a que la actividad industrial se concentre en regiones dentro de un país determinado. De aquí se deriva la importancia de la nueva geografía económica, en el sentido de comprender cómo se encuentran distribuidas las actividades económicas, y si existe algún tipo de especialización en las regiones que coadyuve a entender dicha distribución industrial en un espacio espeficifico.

Isard (1975) determina que para entender el crecimiento y desarrollo de las ciudades y regiones se deben considerar las aglomeraciones que se dan en diferentes centros, que conduce a la concentración de la industria. Las fuerzas que impulsan tales aglomeraciones pueden ser agrupadas dentro de tres grupos importantes:

a)                 Economías de escala.- representan una caída en el costo promedio del producto como resultado de la expansión del nivel de producción. Éstas pueden ser internas o externas a las empresas.

b)                 Economías de localización.- son las ganancias que se obtienen de la conjunción de todas las empresas de una industria en una localidad.

c)                  Economías de urbanización.- constituyen todo el conjunto de empresas que forman todas las industrias que se localizan en una región

Para Parr (2002), el análisis de la localización industrial es importante para comprender fundamentalmente la estructura del espacio económico que determina el tamaño de las ciudades. Es decir, grandes centros industriales representan una oportunidad de crecimiento para las regiones y una fuente en la formulación de estrategias para el desarrollo regional y la generación de encadenamientos o clusters de diversas empresas. Esto se ve reflejado en la formación de grandes centros urbanos. Tal urbanización generará una serie de externalidades positivas que se verá reflejada en un mayor progreso económico de la región. Algunas de las mejoras se pueden traducir en mejores servicios públicos, accesibilidad a las comunicaciones de mayor desarrollo tecnológico, ampliación del servicio de transporte, mayor heterogeneidad entre las empresas y una amplia gama de especialidades en la mano de obra.

En la amplia literatura de la teoría de la localización hay dos visiones bajo las cuales existen incentivos tales como las economías de escala para que las empresas se localicen en un espacio determinado. Por un lado, tenemos el enfoque de las economías internas que establecen que la formación de economías de aglomeración es determinada por la dimensión de la producción de una empresa, basada en una serie de factores que se desprende de su misma elección. Por otro lado, cuando la decisión en la determinación de la producción se deriva de forma no cooperativa entre las empresas y se benefician de forma simultánea de dicha elección, el enfoque bajo el cual debe ser considerada la formación de economías de aglomeración es bajo la economía externa. El análisis de las economías internas o externas se basa bajo el enfoque de la oferta, es decir, desde la perspectiva del comportamiento de las empresas en su proceso de producción, un enfoque meramente neoclásico.

En el análisis de las economías de aglomeración, desde la perspectiva de la geografía económica, existen incentivos y desincentivos para que la industria decida o no concentrarse en una región determinada. Cuando existen incentivos para que la industria se aglomere, se dice que existen fuerzas centrípetas. Si por el contrario, existen factores que influyen para que la industria se disperse de una región a otra, las fuerzas son llamadas centrífugas.

Según Krugman (1998) las fuerzas centrípetas son las tres fuentes clásicas marshallianas de las economías externas. Un gran mercado local crea los encadenamientos hacia atrás -sitios con buen acceso a mercados grandes son lugares preferidos para la producción de bienes sujeto a economías de escala- y encadenamientos hacia delante -un mercado local grande justifica la producción local de bienes intermedios, disminuyendo los costos a los productores. Una concentración industrial significativa, crea un mercado laboral fuerte, especialmente para habilidades especializadas, así a los empleados se les hace más fácil encontrar empleadores y viceversa. Además, una concentración local de las de la industria podría crear más o menos economías externas puras vía la transferencia de información.

Las fuerzas centrífugas se encuentran representadas de igual forma por tres factores. Los factores inmóviles -ciertamente las regiones y los recursos naturales, y, en un contexto internacional, las personas también- actúan contra la concentración de la producción, del lado de la oferta (cierta producción debe dirigirse a donde los trabajadores estén) y del lado de la demanda (los factores dispersivos crean un mercado disperso, y cierta producción tiene un incentivo a localizarse cerca de los consumidores). La concentración de las actividades económicas genera una demanda creciente para una región local, conduciendo a un aumento en las rentas y por lo tanto representa un desincentivo para una mayor centralización. Y la concentración de actividades puede generar más o menos deseconomías externas puras tales como la congestión (Krugman, 1998:8).

Para Krugman y Livas (1992), el modelo de geografía económica debe incluir una tensión entre una fuerza  “centrípeta”  que tiende a impulsar el crecimiento de la población y la producción dentro de aglomeraciones y una fuerza “centrífuga” que tienda a romper tales aglomeraciones. Una fuerza centrípeta puede incluir economías externas y una variedad de efectos de mercados, tales como los enlaces hacia atrás y hacia delante mencionados anteriormente. La fuerza centrífuga puede incluir deseconomías externas, tales como la congestión y contaminación, rentas de la tierra urbana, y el atractivo de desplazarse lejos de las altas localidades urbanas competitivas a los de menos competitividad rural.

METODOLOGÍA

En la práctica, resulta complicado observar como los determinantes de la localización industrial operan en la decisión final de la industria de situarse en una región y no en otra. En este sentido, la econometría es una herramienta estadística que ha sido muy recurrida para medir el impacto de los determinantes en la decisión final de situarse, sin embargo, los resultados que arroga son poco concluyentes. Una alternativa interesante para poder mostrar cómo se forman o se deshacen las economías de aglomeración, es a través de la simulación de un modelo de competencia monopolista el cual representa a un centro en donde se concentran las manufacturas y una proporción agrícola, y una periferia en la cual sólo se producen bienes agrícolas.

 El uso de estos modelos se ha hecho tradicional en los estudios de la geografía económica, ya que aunque son un tanto irreales, se aproximan a los resultados que se quieren obtener. Básicamente, este tipo de especificación relaciona a aquellos factores que representan incentivos o desincentivos para concentrarse.

 

            En el modelo no se considera al comercio exterior como un obstáculo para el comercio, ya que el supuesto que se plantea es que no existen barreras comerciales entre las regiones, por lo tanto cualquier región puede comerciar en cualquier dirección.

A continuación se desarrolla el modelo, considerando como referencia los desarrollados por Krugman (1992), Livas (1992) y Dixit y Stiglitz (1977).  

DESARROLLO DEL MODELO

            Se considera que existe una economía con dos sectores: agrícola y manufacturero, y se representa como una función de utilidad

Formula (1)

en esta ecuación M representa el consumo de la variedad de bienes manufactureros, A el consumo de bienes agrícolas y m representa la proporción del gasto de los bienes manufacturados.

En el sector agrícola se considera que hay un bien homogéneo (A), en el sector manufacturero existen n variedades de m bienes disponibles (m1,m2,m3...,mn). Por lo tanto, se representa como una función de elasticidad constante de sustitución, CES[1]:

Formula (2)

Donde m denota el consumo de cada variedad disponible,  es la intensidad de la preferencia para una variedad de bienes manufactureros producidos y el subíndice i representa el bien al que se refiere. Si  se aleja de cero hacia infinito, existe una estrecha relación de una substitución perfecta por algún otro bien, y por el contrario, si es muy cercano a 0, aumenta el deseo de consumir una gran variedad de bienes manufacturados.

A continuación se representa el ingreso de la economía

 

            Formula (3)

W representa el salario y es igual al precio F. O. B. de los bienes manufactureros producidos en la región j y Yj es el ingreso total de los bienes producidos en la región  j.

 

Dado que el total de oferta laboral en ambos sectores se encuentra especificada de la siguiente manera

Formula (4)

Ahora se procede a desarrollar el índice de precios de los bienes manufacturados en cada región. Los bienes enviados de j a s son embarcados, por lo tanto, al precio C. I. F. al que llegan es Wse (tDjs). Teniendo en cuenta la ecuación CES (2), el índice de precios de las manufacturas puede ser representado de la siguiente manera

 

Formula (5)

Dado este índice, se puede definir el salario de equilibrio. Tomando en cuenta el precio C.I.F. es igual al salario multiplicado por el costo de transporte

 

Formula (6)

 

La siguiente ecuación sólo representa los salarios en términos de los bienes agrícolas[2] 

 

Formula (7)

El interés se centra en determinar éstos considerando también a las manufacturas. En consecuencia, el salario real depende sobre el salario en términos de los bienes agrícolas y sobre el índice de precios de las manufacturas:

Formula (8)

 

Las relaciones que son de interés para nuestro análisis son las ecuaciones (3), (5) y (7). 

 

SOLUCIÓN DEL MODELO A TRAVÉS DEL MÉTODO DE SIMULACIÓN

 

A continuación se mostrará el resultado del modelo de competencia monopolística utilizando como método de solución la simulación. Los parámetros, los cuales representan los insumos para nuestro modelo, son, primeramente, la elasticidad constante de sustitución ( donde ) la cual toma los valores de 1, 2, 3, 4, 6 y 8; segundo, el grado de importancia de la industria manufacturera (), ésta toma los valores de 0.1, 0.2, 0.3, 0.4, 0.6 y 0.8, entre mayor sea su valor mayor es la importancia de la industria en la economía; y por último se tienen los costos de transporte ( donde ) y el cual toma los valores de 0.0 hasta 1 con una variación de 0.1. Se utilizará el programa MATLAB 6.5 para resolver el modelo.

 

 

Primeramente se resuelven simultáneamente las ecuaciones (3), (5) y (7) bajo los supuestos establecidos por Krugman (1992):

 

a)                 Hay dos regiones j = 1 y s = 2

b)                 El número de trabajadores en el sector agrícola se distribuye equitativamente, es decir,

c)                  El número de trabajadores en el sector manufacturero se concentra en la región j, es decir,

d)                 Los salarios nominal, el índice de precios de las manufacturas y el salario real en la región j es igual 1, por lo tanto,

 

Estas consideraciones son suficientes para darnos a la tarea de desarrollar el modelo.

 

 Aplicando los valores respectivos a la ecuación (3) se tiene

Formula (*)

Dados que  se tiene que

Formula (9)

La producción en la región 2 está determinada por

Formula (10)

Replanteando el índice de precios para la región s se tiene

 

Formula (11)

De igual manera, se obtiene la ecuación de los salarios para la región 2 se tiene

Formula (12)

 

 

Sustituyendo los resultados de la ecuación (9) y (10) en (12) se tiene

Formula (13)

Dado que los bienes se representan en términos del índice de precios de la manufacturas, se aplica el índice de precios de los bienes agrícolas, representados por la ecuación (11) obteniendo el salario real de la región 2.

Formula (14)

 

El primer término de esta última ecuación representa el índice de precios de la región 2, el cual es  veces más alto que en la región 1, ya que éste debe importar los bienes manufacturados.

Si se obtiene la derivada de la función (14) en relación al costo de transporte, se puede observar la pendiente y analizar el efecto del costo del transporte cuando éste tiende a 0

Formula (15)

Cuando el costo de transporte tiende a 0 se tiene el siguiente resultado

Formula (16)

lo que lleva a establecer que para un costo de transporte bajo la concentración manufacturera en la región 1 es sostenible.

La expresión (14) representa el salario real de región 2 la cual puede ser replanteada de la siguiente forma

Formula (17)

Planteando la siguiente relación derivada de la expresión previa se puede establecer la condición de concentración la cual se representa como

Formula (18)

Si esta condición se cumple, significa que la concentración de la industria manufacturera es sostenible. La razón de esto es que las economías de escala están presentes debido a que el costo es bajo y además la proporción de las manufacturas en la economía es lo suficientemente fuerte para cualquier nivel de costos de transporte.  En caso contrario, el salario de la región 2 se elevará alcanzando el de la región 1, motivando a una desconcentración industrial para niveles de transporte más altos.

 

 

DISCUSIÓN DE LOS RESULTADOS

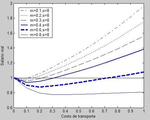
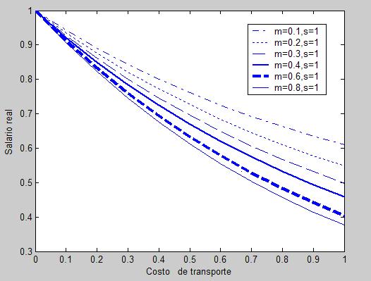
De la condición (18) se puede apreciar de forma más clara en la gráfica (f) y (g) que aparecen en el panel de gráficos (ver anexo). Como se observa, esta condición se cumple en cualquiera de los siguientes dos casos. Cuando la proporción de las manufacturas son altas, como en el caso de la gráfica (f). Para cualquier nivel de costo de transporte la concentración se mantiene debido a que el salario real es mayor en la región 1. Con respecto a la elasticidad, cuando es muy baja, tampoco existen incentivos para desconcentrarse. Sin embargo, cuando se tiene el caso contrario en el cual la proporción de las manufacturas es mínima como en el caso de la gráfica (a) y una elasticidad muy alta para niveles de costos de transporte relativamente mayores como se aprecia en la gráfica (l) la concentración no será benéfica, ya que la región 2 tendrá un mayor salario real lo que implicará una mayor proporción de trabajadores en el corto plazo.

En el caso de las gráficas (b), (c), y (d), las cuales cuentan con una proporción de la industria manufacturera de 0.2, 0.3, y 0,4 respectivamente, la concentración industrial manufacturera se mantiene para elasticidades relativamente pequeñas. En relación a las gráficas (i), (j) y (k) se mantiene el mismo criterio, elasticidades altas implican una gran participación del sector manufacturero para que la concentración industrial se mantenga.  A partir de una proporción de las manufacturas de 0.6 o una elasticidad de 2 la industria manufacturera se concentra en la región 1 para costos de transporte menores 0.8 como se aprecia en la gráfica  (e) y (h) respectivamente.

Si existen dos regiones, 1 y 2, hay un equilibrio en el caso en el cual, la totalidad de la fuerza laboral se encuentra concentrada en la localidad 1 y se cumple la condición  o viceversa. Dicho de otra manera, las regiones con una alta demanda de sus bienes manufacturados podrían pagar un salario nominal más alto; en consecuencia, el ingreso (Y) es alto y el salario real es alto y el índice de precios bajo.

 

Otro caso que resulta interesante es el relacionado con la participación del sector manufacturero en la actividad económica. En circunstancias en las cuales el sector sea poco significante para la economía, es decir, sólo provea al mercado agrícola, las industrias manufactureras se alejarán de las concentraciones.

 

Las regiones con un gran sector manufacturero poseerán un índice de precios muy bajo para los bienes manufacturados, debido a que sólo una pequeña proporción de la población considera los gastos de transporte.

 

 

 

CONCLUSIÓN

En este trabajo se da un breve bosquejo de los factores de la localización industrial que generan aglomeraciones regionales bajo el contexto de la geografía económica. Aunque complejo y un tanto limitado, el modelo centro-periferia desarrollado por Krugman y planteado aquí, sirve de referencia para identificar los principales incentivos que lleva a la industria a concentrase en una región. La principal razón que sustenta una concentración industrial en una espació geográfico, radica en la importancia de la industria en la actividad económica, en la medida que esta crezca la aglomeración será deseada. El deseo de concentrase se incrementa en función de una menor elasticidad de la demanda. Además, esto se cumple si los salarios reales de los trabajadores en la región donde se da la concentración industrial son más altos con respecto a los de otra región, es decir, los trabajadores desean establecerse en donde ellos puedan percibir mayores salarios.

BIBLIOGRAFÍA

Davis, Donald R. y Weinstein, David E. (2001). Market Size, Linkage, And Productivity: A Study of  Japanese Regions, National Bureau of Economic Research, Working Paper No 8518.

Dixit, A. K. y J. E. Stiglitz (1977). Monopolistic competition and optimum product diversity, American Economic Review 67 (3): 297-308.

Eiichi, T. (2003). Changing Economic Geography and Vertical Linkages in Japan,  National Bureau of Economic Research Working Paper No. 9899.

Fujita, M.; Krugman, P. y Venables, A. (1999). The Spatial Economy, Cambridge, The MIT Press.

Hanson, G. (1994). Regional Adjustment to Trade Liberalization, National Bureau of Economic Research Working Paper No. 4713.

Hirschman, Albert O. (1958). The Strategy of Economic Development, New Haven, Yale University Press

Isard, Walter (1975). Introduction to regional science, New Jersey, Prentice Hall.

Krugman, P.(1985). Increasing Returns and Theory of International Trade, National Bureau of Economic Research Working Paper No. 1752.

Krugman, P. (1991). Increasing Returns and Economic Geography, JPE,99 (3): 483-449.

Krugman, P. (1991). Geography and Trade, Cambridge: MIT Press.

Krugman, P. (1992). A Dynamic Spatial Model, National Bureau of Economic Research Working Paper No. 4219.

Krugman, P. y Livas, E. R. (1992). Trade Policy and the Third World Metropolis, National Bureau of Economic Research Working Paper No. 4238.

Krugman, P. (1998). What’s new about the new economic geography?, Oxford Review of Economic Policy, Vol. 14, No 2.

Krugman, P. y Obstfeld, M. (2001). Economía internacional. Teoría y Política, Addison Wesley, 5ª Edición.

Nakamura, S. (1997). Análisis Numérico y Visualización Gráfica con MATLAB, PEARSON, The Ohio State University.

Parr, J. B. (2002). Missing Elements in the analysis of agglomeration economies, International Regional Science Review 25, 2:151-168.

 

ANEXO

Panel de graficas del efecto de los costos de transporte sobre los salarios reales

para la determinación de la concentración industrial.[3]

 

Gráfica (a)

 


Gráfica (b)


Gráfica (c)


Gráfica (d)


Gráfica (e)


Gráfica (f)


Gráfica (g)


Gráfica (h)


Gráfica (i)


Gráfica (j)


Gráfica (k)


Gráfica (l)

           

 

 


 

[1] Por sus siglas en inglés, (Constant Elasticity of Substitution)

[2] Para el desarrollo matemático ver Krugman (1992).

[3] Fuente: Elaboración propia. Desarrolladas por el proceso de simulación en el MATLAB. Donde s representa la elasticidad de la demanda y m la participación del sector manufacturero en la economía.

 


Volver a la revista "Contribuciones a la Economía"

Volver a la Enciclopedia de Economía EMVI

Google

Web www.eumed.net